Boolean Algebra For Beginners Pdf
I ls Open the book and find. Values and variables can indicate some of.
![]()
Pdf Boolean Algebra And Logic Simplification Free Tutorial For Beginners
The two-valued Boolean algebra has important application in the design of modern computing systems.

Boolean algebra for beginners pdf. Aristotle made use of a two valued logical system in devising a method for getting to the truth given a set of true assumptions. Boolean Logic and Electronic Logic Gates. Table 4-1 Basic rules of Boolean algebra.
Boolean algebra is the backbone of computer circuit analysis. 45 out of 5 stars. Boolean algebra is a branch of mathematics and it can be used to describe the manipulation and processing of binary information.
CHAPTER III-2 BOOLEAN VALUES INTRODUCTION BOOLEAN ALGEBRA BOOLEAN VALUES Boolean algebra is a form of algebra that deals with single digit binary values and variables. To ace Algebra I The must-know formulas and equations Concise coverage of key topics Learn. Example 1 F AB AB BC A.
Boolean algebra is a branch of mathematics and it can be used to describe the manipulation and processing of. Simplification of Boolean functions Using the theorems of Boolean Algebra the algebraic forms of functions can often be simplified which leads to simpler and cheaper implementations. Rules 10 through 12 will be derived in terms of the simpler rules and the laws previously discussed.
In digital electronics Boolean logic refers to the manipulation of binary values in which a 1 represents the concept of true and a 0 represents the concept of false. The symbols that are used to represent the two levels of a two valued logical. In electronic circuits that implement logic binary values are represented by voltage levels.
Rules of Boolean Algebra Table 4-1 lists 12 basic rules that are useful in manipulating and simplifying Boolean expressions. 551 x 035 x 85 inches. Although one can use some knowledge from ordinary algebra to deal with Boolean algebra beginners.
Boolean Algebra is made up of Elements -which are variables or constants with value 1 or 0. There is a kind of cheat sheet structured by levels with just a little theory. It provides minimal coverage of.
This chapter contains a brief introduction the basics of logic design. In the most common convention a binary. Quick focused lessons on key topics T he basic rules of algebra How to change decimals to fractions and vice versa Guidance.
The two-valued Boolean algebra has important application in the design of modern computing systems. Boolean Algebra which is algebra of two values may be True False or Yes No or 0 1 is an important tool in analyzing designing and implementing digital circuits. Systems boolean algebra gates arrangements for hardware beginners.
Boolean algebra is very much similar to ordinary algebra in some respects. Two-Valued Boolean Algebra Two-valued Boolean algebra is defined on a set of only two elements S 01 with rules for two. This information is quite new for me as well I encourage you to double check everything.
Hexadecimal Systems Boolean Algebra Gates Arrangements For Hardware Beginners boolean algebra gates arrangements for hardware beginners is universally compatible with any devices to read Note that some of the free ebooks listed on Centsless Books are only free if youre part of Kindle Unlimited which may not be worth the money. 814457 in Books See Top 100 in Books 1311 in Algebra Books Customer Reviews. B B BC How many gates do you save A1 BC from this simplification.
Hope to help some beginners to find the light at the end of tunnel. The symbols and are chosen intentionally to facilitate Boolean algebraic manipulations by persons already familiar to ordinary algebra. 112 Two Valued Logical Symbol.
This chapter contains a brief introduction the basics of logic design. There is a data type called bool or boolean in computer. Operators -which are And Or and Not.
Start reading Boolean Algebra Dover Books on. A BC A A F B. As you may know people have search hundreds times for their chosen books like this mathematical logic basic concepts logical reasoning tests binary octal hexadecimal systems boolean algebra gates arrangements for hardware beginners but end up in malicious downloads.
It provides minimal coverage of Boolean algebra and this algebras relationship to logic gates. Although one can use some knowledge from ordinary algebra to deal with Boolean algebra beginners must be careful not to substitute the rules of ordinary algebra where they are not applicable. Rules 1 through 9 will be viewed in terms of their application to logic gates.

Pdf Boolean Algebra For Xor Gates Semantic Scholar
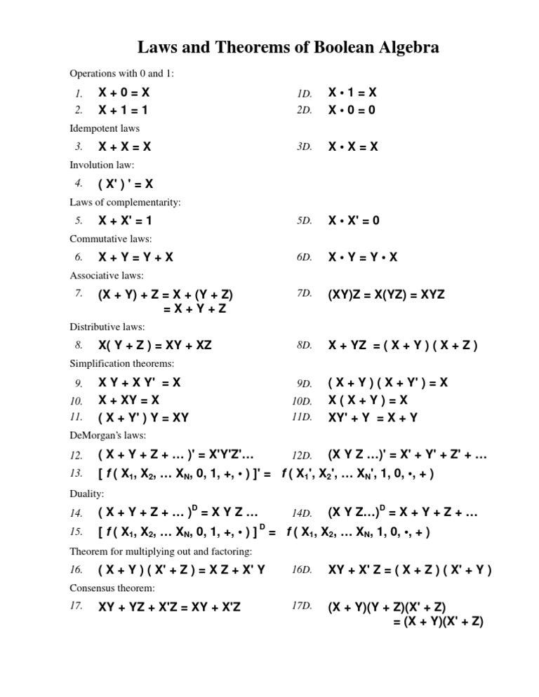
Laws And Theorems Of Boolean Algebra

Logic Gates And Boolean Algebra
Boolean Algebra Cheat Sheet Pdf

Pdf Boolean Algebra And Logic Simplification Free Tutorial For Beginners

Boolean Algebra An Overview Sciencedirect Topics

Example Problems Boolean Expression Simplification Youtube
![]()
Pdf Chapter 2 Boolean Algebra And Logic Gates 2 Nep Montanez Academia Edu
Csci 2150 Boolean Algebra Basics

Boolean Algebra 1 The Laws Of Boolean Algebra Youtube

Boolean Algebra How To W 15 Step By Step Examples

Boolean Algebra Theorems And Laws Of Boolean Algebra Electrical4u

Boolean Algebra How To W 15 Step By Step Examples

Ppt On Boolean Algebra Powerpoint Slides
Boolean Algebra Tutorial Pdf Free Download

Boolean Algebra Basic Digital Principles Assignment Help Algebra Advance Math Principles


